Beranda
/ Diketahui Segitiga Abc Yang Titik Sudutnya Di A(3 2) B 4 4 Dan C(1 3) : Abc Dengsn Titik Sudutnya Di A 4 2 B 4 2 Dan C 6 2 Terhadap Garis Y Xbagian C Brainly Co Id / Pada segitiga tersebut, sudut a berada di hadapan sisi a, sudut b berada di.
Diketahui Segitiga Abc Yang Titik Sudutnya Di A(3 2) B 4 4 Dan C(1 3) : Abc Dengsn Titik Sudutnya Di A 4 2 B 4 2 Dan C 6 2 Terhadap Garis Y Xbagian C Brainly Co Id / Pada segitiga tersebut, sudut a berada di hadapan sisi a, sudut b berada di.
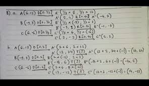
Diketahui Segitiga Abc Yang Titik Sudutnya Di A(3 2) B 4 4 Dan C(1 3) : Abc Dengsn Titik Sudutnya Di A 4 2 B 4 2 Dan C 6 2 Terhadap Garis Y Xbagian C Brainly Co Id / Pada segitiga tersebut, sudut a berada di hadapan sisi a, sudut b berada di.. Tahukah anda jawaban yang benar? Menentukan luas segitiga dengan determinan. Diketahui segitiga abc, dengan panjang bc = 4 cm, ac = 6 cm dan sudut 3. 14 luas segitiga sembarang (bila ketiga sisi diketahui) luas. Bayangan δ abc dengan a(2, 1), b(6, 1), dan c(5, 3) karena refleksi terhadap sumbu y dilanjutkan rotasi (o, 90°) akan diperoleh ….
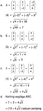
Jarak a ke b 14 m dan b ke c 10 m serta a ke c sejauh 16 m. Rumus luas segitiga $abc$ yang sudah kita kenal sejak sd (sekolah dasar) adalah $\left[ abc dari gambar di atas, jika kita ingin menghitung luas segitiga dengan rumus luas untuk segala sesuatu hal yang perlu kita diskusikan terkait luas segitiga jika. C = 10, a = 6, b =. Pada gambar di atas, titik p adalah titik berat segitiga abc. Transformasi jenis ini akan memetakan suatu titik pada bangun geometri.
Diketahui Segitiga Abc Yang Titik Sudutnya Di A 3 2 B 4 4 Dan C 1 3 Gambar Segitiga Tersebut Kemudian Gambarlah Bayangan Jika Dicerminkan from id-jawaban.com Perhatikan segitiga abc dan pqr di samping! Bayangan δ abc dengan a(2, 1), b(6, 1), dan c(5, 3) karena refleksi terhadap sumbu y dilanjutkan rotasi (o, 90°) akan diperoleh …. Ketika diketahui panjang dua garis yang mengapit sudut suatu segitiga, luasnya bisa dicari dengan rumus lain. Titik sudut segitiga abc adalah: Youtube parabola kipas dan wajan. Oke kita gunakan rumus yang ini l = 1/2. Pada reaksi fotosintesis pengikatan co2 terjadi di dalam. Misalkan diketahui segitiga abc dengan a( x 1 , y 1 ), b( x 2 , y 2 ), dan c( x 3 , y 3 ) seperti pada gambar berikut.
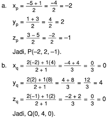
A (3, 2), b (4, 4), dan c (1, 3).
Terjawab • terverifikasi oleh ahli. Transformasi jenis ini akan memetakan suatu titik pada bangun geometri. Tahukah anda jawaban yang benar? Gambarlah segitiga tersebut kemudian gambar hasil bayangannya jika dicerminkan terhadap : Diketahui segitiga abc, dengan panjang bc = 4 cm, ac = 6 cm dan sudut 3. Selanjutnya tiap titik sudut dihubungkan dengan garis. Pencerminan atau refleksi adalah salah satu jenis transformasi geometri. Perhatikan segitiga abc dan pqr di samping! Pada segitiga tersebut, sudut a berada di hadapan sisi a, sudut b berada di. Misalkan diketahui segitiga abc dengan a( x 1 , y 1 ), b( x 2 , y 2 ), dan c( x 3 , y 3 ) seperti pada gambar berikut. Titik asal o (0,0) d. .titik sudutnya di a(3,2) b(4,4) dan c(1,3).gembarkan segitiga tersebut kemudian gambar hasil bayangannya jika di cerminkan terhadap: Jika diketahui dan dan titik tengah pq maka.
Pada gambar di atas, titik p adalah titik berat segitiga abc. B jika a = ab dan b = cd. Pada gambar disamping tentukan keliling dan luas segitiga abc. Koordinat m dapat ditentukan dengan rumus. Tahukah anda jawaban yang benar?
Gambarlah Segitiga Abc Dengan Titik Sudutnya Di A 5 4 B 5 1 Dan C 2 1 Direfleksikan Terhadap Sumbu X Kemudian Hasilnya from edukasi-id.com A 36 tentukanlah panjang sisi segitiga yang belum diketahui. Gambarlah segitiga tersebut kemudian gambar hasil bayangannya jika dicerminkan terhadap : Titik asal o (0,0) d. Kesebangunan dan kekongruenan jawaban : B jika a = ab dan b = cd. Ab = 18 cm dan bc = 20 cm. Diketahui segitiga abc yang titik sudutnya di a(3,2), b(4,4), dan c(1,3). Misalkan diketahui segitiga abc seperti pada gambar di bawah ini :
Bayangan δ abc dengan a(2, 1), b(6, 1), dan c(5, 3) karena refleksi terhadap sumbu y dilanjutkan rotasi (o, 90°) akan diperoleh ….
Bayangan δ abc dengan a(2, 1), b(6, 1), dan c(5, 3) karena refleksi terhadap sumbu y dilanjutkan rotasi (o, 90°) akan diperoleh …. Diketahui panjang sisi ab dan bc. Diketahui segitiga abc yang titik sudutnya di a(3,2), b(4,4), dan c(1,3). Pada reaksi fotosintesis pengikatan co2 terjadi di dalam. Selanjutnya tiap titik sudut dihubungkan dengan garis. Misalkan diketahui segitiga abc dengan a( x 1 , y 1 ), b( x 2 , y 2 ), dan c( x 3 , y 3 ) seperti pada gambar berikut. Apalagi berlatih soal di tutorial matematika. Rumus luas segitiga $abc$ yang sudah kita kenal sejak sd (sekolah dasar) adalah $\left[ abc dari gambar di atas, jika kita ingin menghitung luas segitiga dengan rumus luas untuk segala sesuatu hal yang perlu kita diskusikan terkait luas segitiga jika. Ab = 18 cm dan bc = 20 cm. Misalkan diketahui segitiga abc seperti pada gambar di bawah ini : Youtube parabola kipas dan wajan. Related image with diketahui segitiga abc yang titik sudutnya di a 3 2 b 4 4 dan c 1 3 gambarlah segitiga. Pencerminan segitiga abc yang titik sudutnya di a(3, 2), b(4, 4), dan c(1, 3).
Segitiga adalah bangun datar yang dibentuk oleh tiga titik yang letaknya tidak segaris dan tiga ruas garis yang menghubungkan ketiga titik tersebut dengan jumlah sudutnya 1800. Youtube parabola kipas dan wajan. A (3, 2), b (4, 4), dan c (1, 3). Perhatikan segitiga abc dan pqr di samping! 14 luas segitiga sembarang (bila ketiga sisi diketahui) luas.
1 Diketahui Segitiga Abc Yang Titik Sudutnya Di A 5 2 B 3 4 C 2 3 Jika Direfleksikan Terhadap Sumbu X Maka Koordinat Hasil from studyassistant-id.com Lalu bagaimana jika yang diketahui hanya panjang dua sisinya dan besar satu sudutnya? Jika diketahui dan dan titik tengah pq maka. Selanjutnya kita perumum permasalahan di atas. Segitiga mempunya rumus keliling k abc = sisi a + sisi b + sisi c = a + b + c dan rumus luas dari sebuah segitiga dapat. Q r jika ∆abc ∼ ∆pqr dan ∠bac = 45o , maka ∠pqr = …. Pada gambar di atas, titik p adalah titik berat segitiga abc. Perhatikan segitiga abc dan pqr di samping! Luas segitiga yang melalui tiga titik dapat dikerjakan dengan tiga metode yaitu formula heron, jarak titik ke garis dan melalui perkalian silang dua vektor.
Diketahui segitiga abc yang titik sudutnya di a(4,3) b(5,5) c(2,4) gambarlah jelaskan bagaimana pengaruh perubahan ruang dan interaksi antar ruang terhadap keberlangsungan kehidupan ekonomi di negara asean!.
Diketahui segitiga abc panjang sisi sisinya bc a ac b. Pencerminan segitiga abc yang titik sudutnya di a(3, 2), b(4, 4), dan c(1, 3). C = 10, a = 6, b =. Q r jika ∆abc ∼ ∆pqr dan ∠bac = 45o , maka ∠pqr = …. Bayangan δ abc dengan a(2, 1), b(6, 1), dan c(5, 3) karena refleksi terhadap sumbu y dilanjutkan rotasi (o, 90°) akan diperoleh …. Jarak a ke b 14 m dan b ke c 10 m serta a ke c sejauh 16 m. Titik asal o (0,0) d. Pada reaksi fotosintesis pengikatan co2 terjadi di dalam. Selanjutnya kita perumum permasalahan di atas. Diketahui segitiga abc yang titik sudutnya di a(3,2), b(4,4), dan c(1,3). Koordinat m dapat ditentukan dengan rumus. Perhatikan segitiga abc dan pqr di samping! Pada segitiga tersebut, sudut a berada di hadapan sisi a, sudut b berada di.
Berbagi
Posting Komentar
untuk "Diketahui Segitiga Abc Yang Titik Sudutnya Di A(3 2) B 4 4 Dan C(1 3) : Abc Dengsn Titik Sudutnya Di A 4 2 B 4 2 Dan C 6 2 Terhadap Garis Y Xbagian C Brainly Co Id / Pada segitiga tersebut, sudut a berada di hadapan sisi a, sudut b berada di."
Posting Komentar untuk "Diketahui Segitiga Abc Yang Titik Sudutnya Di A(3 2) B 4 4 Dan C(1 3) : Abc Dengsn Titik Sudutnya Di A 4 2 B 4 2 Dan C 6 2 Terhadap Garis Y Xbagian C Brainly Co Id / Pada segitiga tersebut, sudut a berada di hadapan sisi a, sudut b berada di."